首 页 吉他谱 GTP谱 钢琴谱 简谱 排行榜 歌手 分类 教程 资讯
您现在的位置:爱曲谱 > 简谱 > 英雄战歌

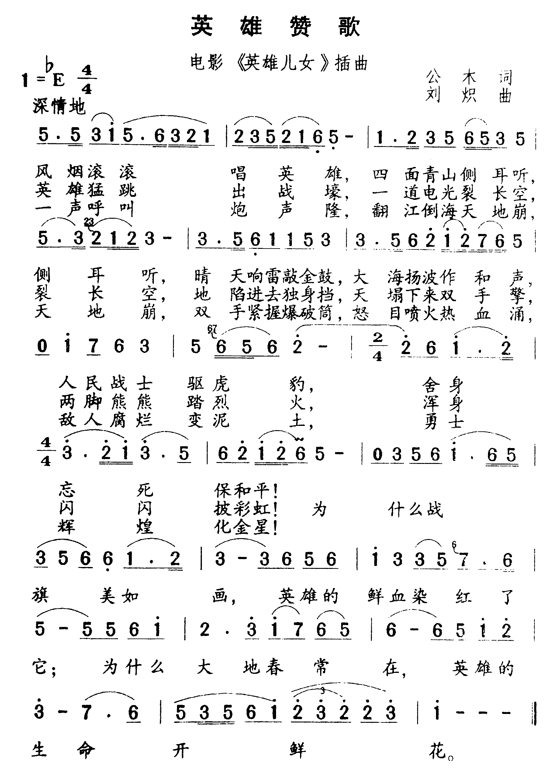
英雄战歌简谱

原创信息:网络转载      上传者:爱曲谱      格式:图片    
英雄战歌吉他谱
相关吉他谱: 离别开出花 不如见一面 C调 艾辰 《落》吉他谱 抖音热 不想让你知道 连衣裙吉他谱 C调小琪琴社编配 东北民谣吉他谱 高清弹唱 你的酒馆对我打了烊吉他谱 高清弹唱 爱情条约 开学第一课 喜剧之王吉他谱 高清弹唱
英雄战歌简谱上传者为网友上传,原创作者为网络转载,歌曲原唱歌手为佚名,本简谱为图片格式,表现形式为,音乐性质为流行金曲。